| |
 Filtre
|
Biblioteca
In cadrul bibliotecii online poti studia 12 articole, 179 lectii.
Articolul zilei: Aplicatii. Functii derivabile
Aplicatii - Funcţii derivabile
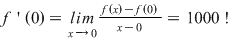
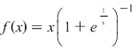
1. Fie definită prin 
Să se calculeze .
Soluţie:
Evident că este derivabilă pe fiind produs de funcţii derivabile. Din multiplele posibilităţi pe care le avem pentru calculul lui cea mai simplă este cea în care folosim definiţia derivatei. Într-adevăr avem:
de unde rezultă 
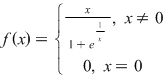
2. Să se studieze derivabilitatea funcţiei 
Soluţie:
Pentru este derivabilă, fiind câtul a două funcţii derivabile. În acest caz, avem:
de unde obţinem
Doua probleme de grupuri
Prima problema se refera la "slabirea" axiomelor grupului, iar cea de-a doua la compatibilitatea ecuatiei binome într-un grup finit.
Vezi intregul articol | Derivata unei functii
Definitia derivatei unei functii. Teorema de caracterizare. Exemplu.
Vezi intregul articol | Coordonate polare in plan
Definitia coordonatelor polare; formula pentru modul; exemplu.
Vezi intregul articol | Proprietatile adunarii matricelor
Proprietatile adunarii matricelor: comutativitatea, asociativitatea, existenta elementului neutru (matricea nula). Exemple.
Vezi intregul articol |
Materiale didactice
|
| |
| |