| |
 Optiuni Inapoi la biblioteca
|
Reprezentarea graficului unei functii reale de variabila reala Autor: Ion Otarasanu Descriere: articol pentru Clasa a XI-a publicat in data de 27 Mar 2008, nivel de dificultate . Etapele reprezentarii graficului unei functii reale de variabila reala. Exemple detaliate. Domenii: ---
5. 
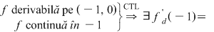
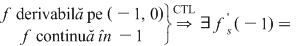
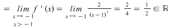
Cercetăm derivabilitatea în şi cu C.T.L
(consecinţa a patra a teoremei lui Lagrange):
Prin urmare, adică nu este derivabilă în , dar este punct unghiular al 
|
| |
| |